Intervistiamo

Stanziate risorse per i comuni che ospitano gli immigrati

Scritto da Redazione
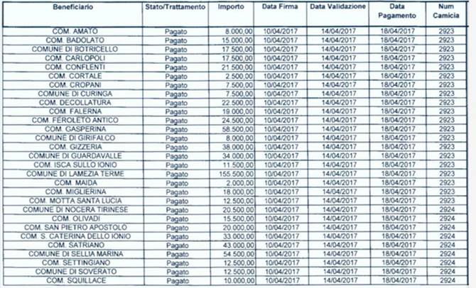
Istituito un fondo con una dotazione per l’anno 2016 di 100 milioni di euro già ripartiti per i richiedenti protezione internazionale. Ne ha dato comunicazione la Prefettura
 
 
 

Il Ministero dell’interno – dipartimento per le Libertà civili e Immigrazione  ha reso noto che sono state erogate a favore dei comuni della provincia di Catanzaro interessati le risorse destinate agli enti che accolgono richiedenti protezione internazionale.

Ads336x280

È infatti previsto come concorso dello Stato agli oneri che sostengono i Comuni ospitanti cittadini stranieri richiedenti asilo l’istituzione di un fondo con una dotazione per l’anno 2016 di 100 milioni di euro. 

Autore

Redazione

Dal 2002 il portale più letto e amato dai tifosi giallorossi del Catanzaro

Scrivi un commento